英国去年第四季度经济增长不及预期
摘要:近期市况:汇市方面,美元指数在CPI报告公布前夕横盘震荡,报96.81;债券市场方面,避险资金的流入致10年期和2年期国债收益率曲线下跌,分别收于4.10%和3.46%。非美货币方面,欧元、英镑兑美元连续三个交易日走弱,至1.1862和1.3618;美元兑日元续创2周以来新低,报152.70;澳元兑美元从逾3年以来高位回调,收于0.7088;纽元兑美元先涨后跌,报0.6029;美元兑加元反弹上涨,
近期市况:
汇市方面,美元指数在CPI报告公布前夕横盘震荡,报96.81;债券市场方面,避险资金的流入致10年期和2年期国债收益率曲线下跌,分别收于4.10%和3.46%。
非美货币方面,欧元、英镑兑美元连续三个交易日走弱,至1.1862和1.3618;美元兑日元续创2周以来新低,报152.70;澳元兑美元从逾3年以来高位回调,收于0.7088;纽元兑美元先涨后跌,报0.6029;美元兑加元反弹上涨,至1.3604;美元兑瑞郎震荡下跌,收于0.7681。
在贵金属市场,股市去风险与多头获利了结触发了抛售。现货黄金日内跌逾200美元,收于4922美元/盎司;现货白银回吐周内涨势,至75.20美元/盎司。
油市方面,继IEA下调全球石油需求预期以及交易员对美伊局势进行权衡,美原油自1月30日以来高位回落,报62.77美元/桶。
近期关键事件:
英国去年第四季度经济增长不及预期。
在预算不确定性的背景下,英国GDP在去年最后三个月仅实现温和增长,报0.1%。
同比去年,该数据录得增长1%。两者表现略不及市场预期的0.2%和1.2%。
在上季度中,当地最大汽车制造商捷豹路虎遭遇网络攻击导致的产量下滑引发了经济增长出现了停滞。
无论如何,受益于2025年上半年相对稳健的表现(第一季度和第二季度分别增长0.7%和0.3%),全年经济增长率达1.3%,超出2024年的1.1%,但略不及预算责任办公室此前的预测,即1.5%。
12月单月,随着工业、制造业及建筑业产出出现不同程度的增速放缓甚至下滑,加上服务业亦表现不如预期,英国GDP同比录得0.7%,为2024年4月以来低位水平;环比上月,该数据录得0.1%,此前0.3%。
除此之外,英国第四季度商业投资同比放缓至2.0%(此前2.7%),环比亦大幅下降至-2.7%,此前为1.5%。
依据预算责任办公室的预测,生产率增长低迷恐将持续影响着经济增速维持在1.5%的年均水平,直至2030年。
主要品种走势分析:
美元指数

(美元指数日线图 来源:HFM)
日线图显示美元指数小幅收涨于96.70支撑。从MACD来看,快慢线逐渐收窄,白色动能柱温和收缩。指数走势和动能柱的变化呈分歧。
欧元兑美元

(欧元兑美元日线图 来源:HFM)
日线图显示欧元兑美元回调下跌,当前承压于1.1950阻力。从MACD来看,快慢线拐向下行,红色动能柱则温和收缩。汇价走势和动能柱的变化呈分歧。
英镑兑美元

(英镑兑美元日线图 来源:HFM)
日线图显示英镑兑美元回调下挫,当前测试1.3610支撑。从MACD来看,快慢线向下运行,红色动能柱则呈平行。汇价走势和动能柱的变化呈分歧。
美元兑日元

(美元兑日元日线图 来源:HFM)
日线图显示美元兑日元遭遇空头抛售,当前承压于154.80阻力。从MACD来看,快慢线拐向下行,红色动能柱温和放量。汇价走势基本和动能柱的变化一致。
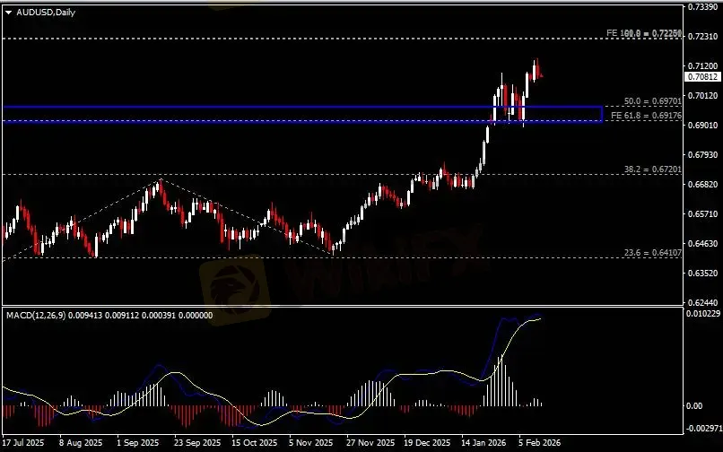
澳元兑美元

(澳元兑美元日线图 来源:HFM)
日线图显示澳元兑美元高位回调,当前仍企稳于0.6920-0.6970支撑区域。从MACD来看,快慢线呈拐向,白色动能柱温和收缩。汇价走势基本和动能柱的变化一致。
纽元兑美元

(纽元兑美元日线图 来源:HFM)
日线图显示纽元兑美元高位回调,当前承压于0.6060阻力。从MACD来看,快慢线拐向下行,红色动能柱温和增量。汇价走势基本和动能柱的变化一致。
美元兑加元

(美元兑加元日线图 来源:HFM)
日线图显示美元兑加元反弹上涨,当前仍承压于1.3750阻力。从MACD来看,快慢线拐向上行,红色动能柱收缩殆尽。汇价走势基本和动能柱的变化一致。
美元兑瑞郎

(美元兑瑞郎日线图 来源:HFM)
日线图显示美元兑瑞郎震荡下跌,当前承压于0.7770阻力。从MACD来看,快慢线向上运行,白色动能柱显示汇价动能有限。汇价走势基本和动能柱的变化一致。
黄金

(黄金日线图 来源:HFM)
日线图显示金价回调下跌,当前测试4940支撑。从MACD来看,快慢线拐向下行,红色动能柱恢复增量。金价走势基本和动能柱的变化一致。
白银

(白银日线图 来源:HFM)
日线图显示银价震荡下挫,当前回测75.20支撑。从MACD来看,快慢线向下运行,红色动能柱则温和收缩。银价走势和动能柱的变化呈分歧。
美原油

(美原油日线图 来源:HFM)
日线图显示油价遇阻回落,当前承压于65关键阻力。从MACD来看,快慢线拐向下行,红色动能柱温和放量。油价走势基本和动能柱的变化一致。
日内重点事件:无
日内经济数据(GMT +8):
15:30 - 瑞士1月CPI
18:00 - 欧元区第四季度GDP、就业人数及12月贸易帐
21:30 - 美国1月CPI及核心CPI
02:00(周六)- 美国至2月13日当周石油钻井总数
Larince Zhang
市场分析师
风险免责声明:本网站的内容仅作为一般性的营销交流用途,仅供参考并不构成独立的投资研究。本网站的任何内容均不包含或不应被视为用于买卖任何金融工具的投资建议。本网站提供的信息均来自信誉良好的金融资源,内容中任何包含过去表现指标的信息均不能或可靠地指示未来的表现。所有用户应了解任何有关杠杆产品的投资都具有一定程度的不确定性。这种性质的投资都涉及高风险而所有用户应对此承担全部责任。我们不承担用户对于本网站提供的信息进行的任何投资所造成的任何损失。未经我们事先的书面许可,本网站的任何内容都不得私自转载或复制。
免责声明:
本文观点仅代表作者个人观点,不构成本平台的投资建议,本平台不对文章信息准确性、完整性和及时性作出任何保证,亦不对因使用或信赖文章信息引发的任何损失承担责任
